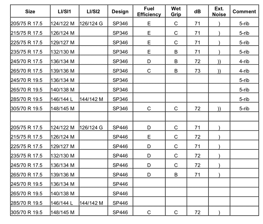
Le manufacturier d’Akron (Ohio) lance deux nouveaux modèles de pneumatiques : les Dunlop SP346 et SP446 qui sont disponibles pour essieu moteur et essieu directeur en 17,5 et 19,5 pouces. Il s’agit de la nouvelle gamme de pneus pour camions légers qui va remplacer les références actuelles SP344 et SP444.
Des pneus certifiés « 3PMSF »
« Les nouveaux Dunlop SP346 et SP446 garantissent un kilométrage élevé et d’excellentes performances de traction dans toutes les conditions, en ville comme pour la distribution régionale, ainsi que sur de longues distances. Ils anticipent le durcissement de la réglementation sur les pneus hiver », indique Benjamin Willot, directeur marketing et commercial chez The Goodyear Tire & Rubber Company Europe. Ces derniers intègrent les dernières technologies de conception leur conférant une polyvalence opérationnelle, des coûts d’exploitation économiques, ainsi qu’une longue durée de vie. Ils possèdent notamment le marquage 3PMSF (3 Peak Mountain Snowflake), indiquant qu’ils sont performants sur route enneigée. La résistance au roulement optimisée garantit en outre une faible consommation d’énergie. Ces nouveaux pneumatiques conviennent par ailleurs aux véhicules électriques et hybrides.

SP346 SP446